登录
注册
退出
×
用户登录
用户名
密码
验证码
忘记密码?
登 录
还没有账号?
立即注册
|
繁體版
中央人民政府
新疆维吾尔自治区人民政府
新疆生产建设兵团
全站群
首 页
师市概况
领导之窗
政务公开
办事服务
政民互动
专题专栏
您的位置:
首页
>
专题专栏
>
热点专题
>
行政执法公示
>
六团双城镇
>
事前公示
>
执法人员信息
>
详细内容
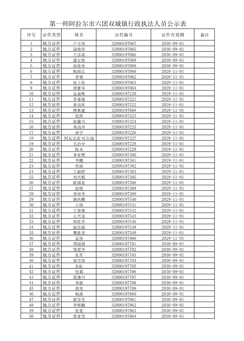
第一师阿拉尔市六团双城镇执法人员信息
来源:党政办
发布时间:2025-12-02 11:30:56
浏览次数:
次
【字体:
小
大
】
终审:六团
【打印正文】
手机版
用户登录
还没有账号?
立即注册